М. В. ПЕВЦОВ
ПУТЕШЕСТВИЕ В КАШГАРИЮ И КУН-ЛУНЬ
ПРИЛОЖЕНИЯ
I
Астрономические наблюдения для определения географического положения мест
Для производства этих наблюдений я имел: 1) пассажный инструмент, приспособленный к наблюдению светил на равных высотах; 2) два столовых и пять карманных хронометров, из которых три были постоянно в работе, а остальные два содержались в запасе; 3) астрономическую трубу Фрауэнгофера с отверстием объектива в 3 дюйма и увеличиванием в 96 раз на прочной металлической треноге и 4) малый универсальный инструмент Брауера с точностью нониусов на обоих кругах в 20».
Пассажный инструмент, служивший для» определения времени и широты, был переделан в механической мастерской Военно-топографического отдела Главного штаба из принадлежавшего мне универсального инструмента Керна. Он имеет ломаную трубу с отверстием объектива 1,7 дюйма, увеличивающую почти в 40 раз, и боковым освещением через горизонтальную ось. Инструмент снабжён вертикальным кругом-искателем с точностью нониусов в 1', а на горизонтальном его круге можно отсчитывать 10». К алидаде вертикального круга припаяна и прикреплена еще винтами медная коробка, в которой находится уровень, замурованный гипсом. Она покрыта сверху стеклянной прямоугольной, равнобедренной призмой, через которую очень удобно отсчитывать показания уровни. Цена одного полуделения этого уровня 284".
По установке алидады вертикального круга-искателя на желаемую высоту она скреплялась с этим кругом нажимным винтом, а потом он поворачивался грубым движением руки так, чтобы алидада с коробкой уровня приняла приблизительно горизонтальное положение. После этого горизонтальная ось инструмента скреплялась нажимным винтом с рычагом, и точное совмещение середины воздушного пузырька уровня с его нулевой чертой производилось уже действием микрометренного винта на этот рычаг.
На диафрагме трубы было натянуто семь горизонтальных нитей в расстояниях от 120" до 160" и две сближенные вертикальные с промежутком 82".
Из пяти рабочих хронометров два шли по звездному времени, а остальные три по среднему, именно:
Столовые — Pihl No 67 звездный, Tiede No 274 средний
Карманные — Wiren No 31 звездный, Dent No 6705 средний, Haut No 32 средний
Хронометры сравнивались ежедневно и сверх того перед наблюдением для определения времени и после него. Они хранились в двух ящиках, которые на месте и в пути находились всегда в одном большом ящике, покрытом белым войлочным чехлом, и тщательно предохранялись от пыли. В жаркое время войлочный чехол большого ящика ежедневно три раза — утром, в полдень и вечером — слегка смачивался водой. Это неоднократно испытанное мною средство много способствует сохранению постоянства ходов хронометров. В суровое же время я поддерживал постоянство температуры хронометров грелками с теплой водой, которые переменялись от 4 до 6 раз в сутки, смотря по степени холода. При движении экспедиции ящик с хронометрами [290] перевозился постоянно на одном в том же верблюде и укладывался всегда ему на спине. Опыт перевозки хронометров на спине верблюда показал, что равномерное, ритмическое качание спинного хребта этого животного при движении очень мало вредит постоянству их ходов.
Относительные ходы хронометров и согласие по ним долгот ясно показали, что столовые хронометры всегда шли гораздо равномернее карманных. Поэтому при окончательном выводе долгот я придал среднему выводу по всем трем карманным хронометрам одинаковый вес с долготами, полученными по каждому из столовых.
Астрономическая труба Фрауэнгофера употреблялась для наблюдения покрытий неподвижных звезд Луною в затмения первого спутника Юпитера с целью получения из этих последних наблюдений приближённых долгот.
Малый универсальный инструмент Брауера служил для определения астрономических азимутов при производстве магнитных наблюдений, а также измерения углов при проложении небольшой тригонометрической сети треугольников на Тибетском нагорье, в окрестностях озера Даши-куль.
Для определения времени по способу Цингера 179 я наблюдал пары звезд до четвертой величины включительно, разнящихся своими склонениями не более 2° и притом проходящих через один и тот же альмукантарат близ первого вертикала.
Широты определены также по соответствующим высотам различных звезд, проходивших через общий альмукантарат по одну и ту же сторону меридиана, в расстояниях от 10 до 35° от него 180. Прохождение каждой звезды наблюдалось на пяти горизонтальных нитях, а промежутки между прохождениями соответственных звезд допускались не долее 5 m. Показания уровня на вертикальном круге-искателе отсчитывались для всякого прохождения.
Долготы большинства пунктов определены перевозкой хронометров, причем опорными точками послужили: город Пржевальск, урочище Тохта-хон, урочище Кара-сай — пункт на озере Лоб-нор, город Карашар и Зайсан. Долгота Пржевальска переопределена в 1892 г. геодезистом полковником Шмидтом, относительно Верного, имеющего телеграфную долготу.
В нижеследующем списке показаны географические координаты всех 34 определенных мною пунктов в окончательной форме для нанесения на карты и с обозначением мест наблюдений 181.
| Названия пунктов |
Широта |
Долгота от Гринвича |
Места наблюдений |
| Древнее мусульманское кладби-ще на левом берегу реки |
39°39,5' |
78°48,2' |
Оконечность мыса. |
| Город Яркенд |
38°24,2' |
77°15,6' |
Предместье Колкачи, прибл. приведение к ю.-з. воротам города Δφ = + 0,8' и Δλ = +1,1'. |
| Урочище Тохта-хон |
37°6,0' |
77°2,3' |
Приведение к соединению двух сухих русел вост. и южн. Δφ = +0,05' и Δλ = -0,2'. |
| Селение Мукойлы |
37°32,4' |
78°18,6' |
Приведение к кладбищу на большой дороге Δφ = 0, Δλ = +0,3' [291] |
| Селение Пиальма |
37°17,7' |
79°5,0' |
Приведение к крайним южным памятникам кладбища Δφ = -0,3', Δλ = +0,2'. |
| Город Хотан |
37°7,4' |
79°53,8' |
На речке Ильчи, в 116 саж. выше крутого поворота на северо-запад приблизительное приведение к центру города Δφ = +0,1', Δλ = -1,2'. |
| Селение Чира |
36°52,6' |
80°44,2' |
Мельница Ниаска, приблизительное приведение к середине базара Δφ = Ц-1,2', Δλ = +0,3'. |
| Город Керия |
36°52,2' |
81°40,8' |
В долине реки, на урочище Хаса, на арыке, в 130 саж. выше мельницы и 1,5 верстах к востоку от базара. |
| Селение Ния |
37°4,6' |
82°39,7' |
Мечеть Меселембайнын, в части селения Кенсрыке. |
| Монастырь имама Джафара-Сады-ка |
37°44,4' |
82°47,4' |
Середина северной окраины монастырского двора. |
| Слияние ручья Булак-ааши |
37°14,0' |
83°14,1' |
Оконечность мыса между ручьем и рекой. |
| Селение Кара-сай |
36°46,9' |
83°48,1' |
Валун на правом берегу речки в 200 саж. к северу от ее выхода из ущелья. |
| Монастырь Люнджилик-ханум |
36°40,9' |
83°44,3' |
Мечеть, на левом берегу речки, на террасе. |
| Озеро Даши-куль |
36°34,9' |
84°26,3' |
Ю.-в. оконечность песчаникового кряжа, близ берега озера. |
| Селение Ачан |
37°19,2' |
85°24,8' |
Оконечность горного мыса на правом берегу речки. |
| Селение Черчен |
38°9,4' |
85°27,6' |
Роща Бостан-амбал-чюш-кан близ северной окраины селения. |
| Урочище Мандалык |
37°38,5' |
86°31,4' |
Приведение к истокам ручья Кёль-булак, у подножья хребта Δφ = +0,4', Δλ =-0,1'. |
| Озерко Яшиль-куль |
36°51,5' |
87°24,3' |
Северная оконечность, озерка. |
| Урочище Димна-лык |
37°44,6' |
87°16,5' |
У брода через речку Димналык-су. [292] |
| Урочище Дон-сай |
37°51,9' |
88°20,6' |
На месте наблюдения сложен из дерна холм. |
| Урочище Юсуп-булак |
38°4,6' |
89°15,1' |
На западной окраине, в 0,2' прямо к востоку от истока ручья. |
| Озеро Узун-шор-куль |
38°23,8' |
90°0,0' |
В одной версте к юго-западу от озера, где сложена пирамида из камней. |
| Урочище Аврас-булак |
38°54,4' |
89°5,6' |
В 120 саж. ниже истоков ручья, где сложена пирамида из камней. |
| Озеро Люб-нор |
39°30,7' |
89° 1,0' |
Приведение к мазару на левом берегу реки Δφ = +0,15', Δλ =-0,2'. |
| Урочище Айрылган |
40°8,7' |
88°20,0' |
Переправа через реку, в двух верстах выше устья реки Конче. |
| Селение Кырчин |
40°38,6' |
87°19,2' |
Памятник отца нынешнего правителя Насыр-бека. |
| Селение Карул |
41°4,3' |
86°32,0' |
На левом берегу Угень-дарьи, у переправы. |
| Селение Курля |
41°43,7' |
86°9,5' |
Мост через проток Кара-су по дороге в селение Шинега. |
| Город Карашар |
42°3,0' |
86°35,1' |
На левом берегу реки, в 100 саж. ниже переправы. Приведение к восточным воротам крепости Δφ = +0,8', Δλ =-0,7'. |
| Селение Ушак-тал |
42°13,1' |
87° 17,6' |
Здание почтового пикета на западной окраине селения. |
| Селение Токсун |
42°46,9' |
88°40,0' |
Мазар Султана Сарыкабаш-ходжи. |
| Город Урумчи |
43°44,8' |
87°35,3' |
В трех верстах к юго-западу от города на левом берегу речки, приблизительное приведение к южным воротам крепости Δφ = +2,1', Δλ = +0,9'. |
| Урочище Баш-чий на реке |
44°54,3' |
85°33,3' |
Между заводью и рекой, у крутого поворота последней на запад. |
| Урочище Улусту-булук (Кендырь-булак) |
46°9,1' |
85°37,6' |
Начало источника Улусту-булук в долине речки Орху. [293] |
Из 34 определенных мною пунктов 8 были определены католическими миссионерами ордена иезуитов — Галлерштейном и д'Эспиньей, в правление китайского императора Цяй-луня с 1760 г. яо 1765 г. Какими инструментами и способами они определяли географические координаты, осталось неизвестным. До нас дошли только списки определенных имя пунктов с указанием их широт и долгот. В этих списках, между прочим, показаны:
| Пункты |
Широты |
Долготы от Гринвича |
Разности с моими определениями |
|
| по широте |
по долготе |
|||
| Яркенд |
38°19' |
76°17' |
- 6' |
- 1°0' |
| Хотан |
37°0' |
80°35' |
- 8' |
+ 0°42' |
| Чира |
36°47' |
81°45' |
- 13' |
+ 1°1' |
| Керия |
36°58' |
83°2' |
+ 6' |
+ 1°23' |
| Айрылган |
40°2' |
87°23' |
- 7’ |
- 0°57' |
| Курля |
41°46' |
87°16' |
+ 2' |
+ 1°7' |
| Карашар |
42°7' |
87°10' |
+ 3' |
+0°36' |
| Урумчи |
43°27' |
88°31' |
- 20' |
+ 0°55' |
| Средние абсолютные уклонения: |
8' |
0°58' |
||
Из этих сопоставлений видно, что широты определены миссионерами еще сносно, исключая город Урумчи, для которого можно подозревать описку, а долготы их абсолютные и относительные крайне ненадежны. Так, например, по определению миссионеров, Курля лежит на 6' восточнее Карзшара, а до моему, вполне согласному со съемкой, — западнее на 25,6'.
II
Магнитные наблюдения
Эти наблюдения заключались в определении магнитного наклонения посредством инклинатора Дове и склонения с помощью буссоли с трубой и малого универсального инструмента Брауера, служившего для измерения астрономических азимутов.
Оба круга инклинатора Дове разделены на полуградусы и нониусы давали отсчеты с точностью до 1'. К алидаде вертикального круга прикреплена под прямым утлом медная линейка с двумя малыми микроскопами на концах, нити которых наводятся попеременно посредством микрометрического движения алидады из концы стрелки. На горизонтальном круге инклинатора находится уровень для приведения этого круга перед всяким наблюдением в надлежащее положение.
Буссоль склонения, которой я пользовался, состояла из обыкновенной цилиндрической коробки 7-дюймового диаметра, вращавшейся в (горизонтальной плоскости на стержне треноги с уравнительными винтами. Она имела зеркальное дно и внутреннее кольцо с делениями от 15' до 15', что давало возможность устанавливать правильно глаз и с помощью сильной лупы отсчитывать десятые деления, т. е. 1,5'. К коробке буссоли по направлению диаметра 90°-270° привинчены две стойки с гнездами, в которых лежит горизонтальная ось инструмента с трубой, увеличивающей о 12 раз, а на нее устанавливается скоба с уровнем.
Недостаток буссоли заключался в том, что посредством ее нельзя было делать повторительных наблюдений на различных делениях кольца при измерении одного и того же магнитного азимута. Для избежания грубых ошибок в магнитных азимутах я тщательно исследовал деления кольца от 0° до 30°, от 150° до 180°, от 180° до 210° и от 380° до 360°, служившие при определении этих азимутов. Исследование заключалось в сравнении разностей магнитных азимутов многих земных предметов, замеренных на означенных делениях, с величинами углов между направлениями на те же предметы, полученными универсальным инструментом Брауера, и показало отсутствие в них грубых погрешностей.
Для определения магнитного наклонения азимутальный круг инклинатора приводился в горизонтальное положение; потом вертикальный круг его устанавливался в [294] плоскости магнитного меридиана, и горизонтальная ось стрелки опускалась посредством рычага на ребра хрустальных пластинок. По успокоении стрелки на оба ее конца наводились попеременно нити микроскопов, и для каждого наведения отсчитывались показания обоих нониусов на вертикальном круге инструмента. После этого стрелке посредством поднятия и опускания рычага сообщалось колебание в плоскости меридиана и повторялись отсчеты. Затем верхняя подвижная часть инструмента поворачивалась на 180°, и производилось столько же наблюдений, по окончании которых стрелка перекладывалась в гнездах на 180°, и повторялся такой же ряд наблюдений, как и до переложения. Наконец, для исключения погрешности от несовпадения центра тяжести стрелки с точкою привеса она перемагничивалась, и производился полный ряд наблюдений при обратном положении ее полюсов. Перед каждым успокоением стрелки нулевая черта уровня на горизонтальном круге действием одного или двух уравнительных винтов совмещалась с серединой воздушного пузырька.
В городе Пржевальске, на урочище Тохта-хон, в Хотане и Нии наклонение определено тремя стрелками, а во всех остальных пунктах — двумя. Точность его, судя по согласию отсчетов, должна быть близка к 2'. Вообще инклинатор Дове дает очень хорошие результаты, но наблюдения им утомительны.
Определение магнитного склонения заключалось в измерении посредством буссоли магнитного азимута направления на веху, поставленную не ближе 100 сажен от места наблюдения, и астрономического азимута того же направления универсальным инструментом Брауера.
Веха устанавливалась всегда в первой или последней четверти окружности, считая от севера через восток. По наведении на нее трубы буссоли, приведенной предварительно в горизонтальное положение, стрелка отпускалась, и отсчитывались в лупу показания обоих концов ее. Потом коробка буссоли слегка поворачивалась в горизонтальной плоскости, а стрелке посредством рычага сообщалось колебание, во время которого труба вторично наводилась на веху, и по успокоении стрелки отсчитывались показания обоих ее концов. После этого стрелка переворачивалась на стержне внешнею поверхностью внутрь, и повторялся такой же ряд наблюдений. Затем труба переводилась через зенит, а коробка буссоли оборачивалась на 180°, и производилось столько же наблюдений в прежнем порядке.
Для определения астрономического азимута универсальным инструментом Брауера я наблюдал всегда Полярную звезду, на которую делал восемь наведений при различном положении вертикального круга инструмента и столько же наведений на фонарь, повешенный на веху.
Астрономические азимуты вычислены по формуле:
Ошибки склонений, судя по согласию результатов отдельных наблюдений при определении магнитных и астрономических азимутов, не должны превышать 2’.
Список пунктов, в которых определены магнитные элементы: наклонение и склонение
| Названия пунктов |
Широта |
Долгота |
Наклонение |
Восточн. склон. |
Время наблюдения по новому стилю 1889 г. |
| Город Пржевальск |
42°29,9' |
78°22,6' |
58°34' |
5°51' |
13 и 14 мая, скл. 10 h утра, накл. 1,3 h дня. [295] |
| Урочище Тохта-хон |
37°6,0' |
77°2.3' |
52°36' |
4°39' |
4 и 7 августа, скл. 4 h дня, накл. 11 h утра. |
| Город Хотан |
37°7,4' |
79°53,8' |
52°16' |
4°11' |
7 октября, скл. 4,3 h дня, накл. 10 h утра 1890 г. |
| Селение Ния |
37°4,6' |
82°39,7' |
52°25' |
4°21’ |
17 и 18 марта, скл. 3 h дня, накл. 11,3 h утра. |
| Озеро Даши-куль |
36°34,9' |
84°26,3' |
51°53' |
3°58' |
2 и 6 июня, скл. 7 h дня, накл. 12,2 h дня. |
| Селение Черчен |
38°9,4' |
85°27,6' |
54 °7' |
4°8' |
12 августа, скл. 6 h дня, накл. 2,1 h дня. |
| Озеро Яшиль-куль |
36°51,5' |
87°24,3' |
52°32' |
3°55' |
5 сентября, скл. 4,2 h дня, накл. 1,1 h дня. |
| Озеро Лоб-нор |
39°30,7' |
89°1,0' |
56°10' |
4°12' |
12 октября, скл. 4,6 h дня, накл. 10 h утра. |
| Селение Курля |
41°43,7' |
86°9,5' |
58°26' |
5°12’ |
15 ноября, скл. 5,1 h дня, накл. 11,3 h дня, |
| Город Урумчи |
43°44,8' |
87°35,3' |
61°0' |
5°25' |
15 и 16 декабря, скл. 2,8 h дня, накл. 1,3 h дня. |
III
Барометрические определения высот
Для этих определений я имел барометр Паррота No 67, шкала которого разделена на миллиметры, а резервуар снабжён краном. Барометр перед экспедицией был исследован в Главной физической обсерватории, и поправка его найдена +0,5 mm, а по возвращении сравнен с нормальным барометром Военно-топографического отдела Главного штаба, причем поправка его оказалась +0,8 mm.
Кроме барометра Паррота, в экспедиции имелись еще гипсотермометр Бодана и анероид Ньютона No 1376. Оба эти инструмента перед путешествием, а-гипсотермометр и после него, были исследованы в Главной физической обсерватории; во время же самого путешествия часто сравнивались с ртутным барометром Паррота. Гипсотермометр Бодэна, который употреблял почти исключительно геолог экспедиции К. И. Богданович, в продолжение всего путешествия очень хорошо сохранял свою поправку относительно барометра Паррота. Поправки же анероида Ньютона на весьма высоких [296] горах Кун-луня и на Тибетском нагорье часто менялись на несколько миллиметров, а потому этот инструмент употреблялся только для измерения небольших высот в Кашгарской котловине В. И. Роборовским во время его экскурсий.
Для измерения температуры воздуха служили два весьма чувствительные термометра Цельсия работы механика Мюллера, исследованные в Главной физической обсерватории. Для наблюдения влажности воздуха из этих термометров, дававших всегда очень согласные показания, составлялся, о помощью деревянной стойки с кольцами и стаканчика, психрометр. Сверх того в экспедиции имелось еще восемь запасных термометров работы того же механика, который определил их поправки, и гигрометр Сосюра.
Высоты всех пунктов, перечисленных в нижеследующем описке, определены лично мною посредством барометра Ларрота и вычислены по соответствующим наблюдениям над ближайшими метеорологическими станциями. Так, высоты, определенные в горах Тянь-шаня, вычислены над Верным; в западной и южной частях Кашгарской котловины — над Кашгаром, в горах Кун-луня и на Тибетском нагорье — над английской станцией в городе Ле, в Ладаке; в северо-восточной части Кашгарской котловины — над Верным и, наконец, в Джунгарии — над Зайсаном. Высоты поименованных метеорологических станций, исключая Ле, вычисленные в Главной физической обсерватории из многолетних наблюдений, взяты из «Летописей» этой обсерватории за 1891 и 1892 гг., именно: для Верного — 732 метра, Кашгара — 1219 метров и Зайсана 612 метров, а для станции Ле по английской триангуляции — 3 506 метров.
Разности высот, не превосходящие 500 метров, вычислены по таблицам Радо 182, а более 500 метров — по «Гипсометрическим таблицам», приложенным к «Инструкции для метеорологических станций» Главной физической обсерватории и составленным по строгой формуле Рюльмана.
Высоты некоторых пунктов, почти равноудаленных от двух ближайших к ним метеорологических станций, вычислены по соответствующим наблюдениям над той и другой станцией. Эти вычисления дали следующие результаты:
| Пункты |
По соответствующим наблюдениям |
Абсолютные высоты |
|
| в метрах |
средние |
||
| Перевал Бедэль |
В Верном |
4 229 |
4 224 |
| В Кашгаре |
4 220 |
||
| Селение Ния (4-месяч-ное наблюдение |
В Верном |
1 374 |
1 360 |
| В Кашгаре |
1 347 |
||
| Селение Кара-сай |
В Ле |
2 967 |
2 953 |
| В Кашгаре |
2 938 |
||
| Селение Ачан |
В Ле |
2 893 |
2 912 |
| В Верном |
2 931 |
||
| Перевал Чука-даван |
В Ле |
2 867 |
2 904 |
| В Верном |
2 941 |
||
| Город Урумчи |
В Верном |
933 |
948 |
| В Зайсане |
963 |
||
Кроме непосредственных определений высот барометром, мною измерены еще с помощью малого универсального инструмента, кипрегеля и мензуры относительные высоты некоторых наиболее выдающихся вершин Кун-луня, а также снеговой линии и нижних концов ледников на его горах. Высоты этой категории отнесены к пунктам, в которых сделано несколько барометрических наблюдений для определения их превышений над уровнем моря. В окрестностях озера Даши-куль, на Тибетском нагорье, я измерил посредством шнура базис в 1 600 сажен и сделал малым универсальным инструментом Брауера тригонометрическую триангуляцию из семи треугольников дли определения относительных высот вершин соседних снеговых гор [297] снежной линии и нижних концов ледников, причем зенитные расстояния этих предметов были измерены тем же инструментом. При измерении же прочих относительных высот расстояния до горных вершин и выдающихся точек снеговой линии определены посредством геометрической триангуляции на мензуле, а зенитные (расстояния — кипрегелем, дававшим углы о точностью до 1'. Для вычисления рефракции при измерении всех зенитных расстояний наблюдались показания барометра и температура воздуха.
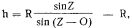
Относительные высоты вычислены по формуле:
где R — радиус земной поверхности на нижней станции, Z — исправленное рефракцией зенитное расстояние и О — угол между нормалями станций, определяемый из уравнения:
в котором d — расстояние между сравниваемыми станциями.
Список пунктов, высоты которых определены посредством барометра Паррота
| Названия пунктов |
Число наблюдений |
Абсолютная высота |
Примечания |
|
| в метрах |
в футах |
|||
| Нижняя граница ели в Тянь-шане на северном склоне хребта Терскей Ала-тау, в ущелье Барскоун |
3 |
2 035 |
6 680 |
|
| Верхняя граница ели на том же склоне |
3 |
3 023 |
9 920 |
|
| Высшая точка перевала Барскоун через хребет Терскей Ала-тау |
1 |
3 725 |
12 220 |
|
| Высшая точка перевала Бедэля через хребет Кок-шал |
1 |
4 224 |
13 860 |
|
| Урочище Сапыр-бай на реке Таушкан-дарья |
3 |
1 688 |
5 540 |
|
| Высшая точка перевала Дунгарет-мё через хребет Кара-тэке |
1 |
2 644 |
8 670 |
|
| Поверхность болота Лалмой |
2 |
1 020 |
3 350 |
|
| Поверхность реки Яркенд-дарья у южной оконечности кряжа Гумбес-таг |
3 |
1 030 |
3 380 |
|
| Поверхность реки Яркенд-дарья у постоялого двора Цай-дянь в 12 верстах к югу от селения Аксак-марал |
3 |
1 070 |
3 510 |
|
| Город Яркенд |
12 |
1 163 |
3 820 |
|
| Урочище Тохта-хон |
28 |
2 832 |
9 290 |
|
| Высшая точка перевала Топатаг-даван |
1 |
3 147 |
10 330 |
|
| Нижняя граница ели в горах Кун-луня, близ урочища Тохта-хон |
3 |
3 036 |
9 960 [298] |
|
| Верхняя граница ели в тех же горах |
3 |
3 301 |
10 830 |
|
| Селение Кок-яр |
2 |
1 840 |
6 040 |
|
| Селение Кент-сай |
2 |
1 810 |
5 940 |
|
| Селение Мукойлы |
3 |
1 321 |
4 330 |
|
| Селение Пиальма |
3 |
1 305 |
4 280 |
|
| Город Хотан |
9 |
1 302 |
4 270 |
|
| Селение Чира |
3 |
1 370 |
4 490 |
|
| Город Керия |
9 |
1 328 |
4 360 |
|
| Селение Ния |
360 |
1 360 |
4 460 |
|
| Монастырь имама Джафара-Садыка |
3 |
1 280 |
4 200 |
|
| Слияние ручья Булак-баши с рекой Толан-ходжа |
2 |
1 366 |
4 480 |
|
| Селение Кара-сай |
15 |
2 953 |
9 690 |
|
| Монастырь Люнджилик-ханум |
3 |
3 238 |
10 620 |
|
| Урочище Баш-булак в долине верхней Ак-су, в Кун-луне |
3 |
3 647 |
11 970 |
|
| Поверхность озера Даши-куль |
18 |
4 229 |
13 880 |
|
| Вершина снеговой горы Ак-таг в 16 верстах к северо-востоку от озера Даши-куль |
18 |
6 365 |
20 880 |
Определены посредством тригонометрической триангуляции над поверхностью озера Даши-куль |
| Вершина снеговой горы в шести верстах к северо-востоку от озера Даши-куль |
18 |
6 109 |
20 040 |
|
| Высота снеговой линии на южном склоне Кун-луня, в окрестностях озера Даши-куль (3 точки под 35°40') |
18 |
5 834 |
19 140 |
Определены посредством тригонометрической триангуляции над поверхностью озера Даши-куль |
| Высота нижнего края ледника на том же склоне |
18 |
5 510 |
18 080 |
|
| Высшая точка перевала через восточный отрог Кун-луня в 30 верстах к югу от озера Даши-куль |
2 |
5 056 |
16 590 |
|
| Тибетское нагорье близ южной подошвы этого отрога |
2 |
4 907 |
16 100 |
|
| Тибетское нагорье в 14 верстах южнее подошвы того же отрога |
1 |
4 921 |
16 150 |
|
| Поверхность реки Мольджа при выходе из гор |
3 |
2 283 |
7 490 |
|
| Селение Копа |
2 |
2 456 |
8 060 |
|
| Селение Ачан |
3 |
2 912 |
9 550 [299] |
|
| Селение Черчен Перевал Чука-даван через хребет Астын-таг (Алтын-таг Пржевальского, Altyn tagh иностранных авторов, Altun range лейтенанта Саrey). |
5 |
1239 |
4 070 |
|
| Урочище Мандалык в долине верхней Черчен-дарьи |
6 |
3 052 |
10 010 |
|
| Перевал Музлук через хребет того же названия |
1 |
4 710 |
15 450 |
|
| Урочище Кулан-лык на Тибетском нагорье |
2 |
4 412 |
14 480 |
|
| Озерко Яшиль-куль близ подножья хребта Пржевальского (Акка-таг) |
3 |
4 587 |
15 050 |
|
| Урочище Музлук на Тибетском нагорье |
2 |
4 384 |
14 380 |
|
| Урочище Димна-лык на речке того же названия |
2 |
3 506 |
11 500 |
|
| Урочище Кара-чука в долине речка Димна-лык |
3 |
3 960 |
12 990 |
|
| Вершина главной горы в снеговой группе Сулан-таг хребта Алтын-таг |
3 |
5 844 |
19 170 |
Определены инструментально над урочищем Кара-чука |
| Высота снеговой линии на юго-восточном склоне этой группы (38°0') |
3 |
5 658 |
18 560 |
|
| Перевал Гульджа-даван |
1 |
4 313 |
14 150 |
|
| Урочище Дон-сай в долине речки Гульджа |
2 |
3 967 |
13 020 |
|
| Урочище Гэша в долине речки Тогры-сай |
2 |
3 711 |
12 180 |
|
| Вершина высочайшей снеговой горы в южном хребте Юсуп-алык-таг |
2 |
6 144 |
20 160 |
Определены инструментально над урочищем Гэша |
| Высота, снеговой линии на южном склоне этой горы (38°0') |
2 |
5 739 |
18 830 |
|
| Урочище Юсуп-булак |
3 |
3 480 |
11 420 |
|
| Поверхность озера Узун-шор-куль |
3 |
2 900 |
9 520 |
|
| Высочайшая вершина снеговой группы Юсуп-алык-таг в 30 верстах к западу от озера Узун-шор-куль |
3 |
5 807 |
19 050 |
Определены инструментально над озером Узун-шор-куль |
| Высота снеговой линии на северном склоне этой группы (38°24') |
3 |
5 435 |
17 830 |
|
| Урочище Кош-лаш на речке Ильбе-чимен |
2 |
3 028 |
9 930 |
|
| Перевал Таш-даван через хребет Алтын-таг |
1 |
3 807 |
12 490 [300] |
|
| Урочище Аврас-булак (исток ручья) |
3 |
2 173 |
7 130 |
|
| Поверхность озера Лоб-нор |
12 |
807 |
2 650 |
|
| Поверхность реки Яркенд-дарья близ слияния с Конче, на урочище Айрылган |
3 |
816 |
2 680 |
|
| Поверхность той же речки близ селения Кырчин |
2 |
824 |
2 710 |
|
| Поверхность Яркенд-дарьи при выходе из нее протока Кёк-ала |
3 |
838 |
2 750 |
|
| Поверхность Яркенд-дарьи у селения Карул |
2 |
840 |
2 760 |
|
| Селение Курля |
6 |
850 |
2 790 |
|
| Город Карашар |
3 |
932 |
3 060 |
|
| Селение Ушак-тал |
5 |
1 234 |
4 050 |
|
| Селение Токсун |
3 |
-50 |
-160 |
В отрицательной низменности |
| Перевал Та-даван через Тянь-шань между Токсуном и Урумчи |
1 |
2 156 |
7 070 |
|
| Город Урумчи |
6 |
948 |
3 110 |
|
| Селение Хутубей |
2 |
530 |
1 740 |
|
| Селение Хуан-соху |
3 |
436 |
1 430 |
|
| Урочище Баш-чий на реке Манас |
2 |
377 |
1 240 |
|
| Поверхность озера Телли-нор |
3 |
294 |
960 |
|
| Поверхность озера Айрик-нор |
2 |
230 |
750 |
|
| Исток ручья Улусту в долине речки Орху |
2 |
264 |
870 |
|
| Перевал Орылгун через хребет Семис-тай |
1 |
1 381 |
4 530 |
|
| Перевал Керген-тас через Гарбагатай |
1 |
1 938 |
6 360 |
|
IV
Метеорологические наблюдения
При частых перемещениях экспедиции, во время которых почти ежедневно изменялась широта места, а по временам в значительной степени и абсолютная высота, правильные наблюдениями установленные срочные часы, по моему, убеждению, не могли бы дать удовлетворительных результатов. Поэтому при передвижении экспедиции я производил метеорологические наблюдении только по временам с целью сравнения температуры и влажности воздуха в летние месяцы в одни и те же часы в оазисах и в соседних пустынях, а также определения суточных амплитуд в ясные в пасмурные дни в самой Кашгарской котловине, в горах Кун-луня и на высоком Тибетском нагорье. Кроме того, я старался замечать направление движения облаков, наблюдать строение песчаных образований, выветривание ската и собирать расспросные сведения: от туземцев о климате Кашгарии.
Во время зимней стоянки экспедиции в селении Ния мною была устроена там метеорологическая станция, на которой и течение первых четырех месяцев 1890 г. [301] производились правильные наблюдения в 7 утра, в час пополудни и в 9 вечера над атмосферным давлением, температурою воздуха, влажностью, осадками и ветрами.
Барометр Паррота, служивший для наблюдения атмосферного давления, был повешен в комнате дома, который занимала экспедиция. Психрометр же помещался в сенях, на высоте семи футов от пола, на доске в расстояния трех футов от овна, обращенного на север, в 4 сажени длины и 2,5 фута высоты. Окно имело решётчатую раму, черта которую доступ внешнего воздуха был совершенно свободен. На той же доске, рядом с психрометром, помещались термометр maximum-minimum Сикса и волосной гигрометр Сосюра 183. Направление ветра определялось по флюгеру, а сила его измерялась посредством анемометра Робинзона и выражена числом метров m секунду. Облачность обозначалась цифрами от 0 до 10, причем 0 означает ясно, а 10 — небо, покрытое сплошь облаками. В нижеследующей таблице помещены результаты метеорологических наблюдений в Нии. В ней цифры под N. N Е, Е и т. д. означают число срочных часов в течение месяца, в которые были наблюдены ветры соответствующего направления, и силу наблюденных ветров в l s в метрах.
Селение Ния, 1890 г.
Широта φ = 37°5'
Долгота от Гринвича λ = 82°40
Высота над уровнем моря h = 1 360 метров.
| Месяцы |
Барометр, mm |
Термо-метр Цельсия |
По Цельсию |
Влажн. |
Облачн. |
Число дней |
|||||
| max. |
min. |
Абсол. |
Относ. |
Ясных. |
Пасмурн. |
С осад. |
Пыльн. туман |
||||
| Январь |
647,4 |
-5,3 |
-0,7 |
-9,6 |
— |
— |
4,8 |
3 |
15 |
5 сн. |
— |
| Февраль |
645,6 |
-1,0 |
-5,1 |
-6,2 |
— |
— |
5,5 |
4 |
16 |
2 сн. |
6 |
| Март |
644,6 |
5,3 |
12,7 |
-1,2 |
— |
— |
6,4 |
3 |
19 |
— |
4 |
| Апрель |
642,0 |
16,0 |
23,6 |
10,4 |
4,1 |
30 |
6,4 |
3 |
15 |
1 дождь и гроза |
11 |
| Месяцы |
N |
NE |
Е |
SE |
S |
SW |
W |
NW |
Бури |
Тихо |
||||||||
| чис-ло |
сила |
чис-ло |
сила |
чис-ло |
сила |
чис-ло |
сила |
чис-ло |
сила |
чис-ло |
сила |
чис-ло |
сила |
чис-ло |
сила |
|||
| Январь |
1 |
10 |
7 |
7 |
— |
— |
— |
— |
— |
— |
2 |
8 |
8 |
7 |
11 |
6 |
— |
65 |
| Февраль |
— |
— |
14 |
10 |
1 |
10 |
— |
— |
— |
— |
2 |
15 |
5 |
10 |
4 |
9 |
5 |
57 |
| Март |
1 |
8 |
15 |
9 |
— |
— |
1 |
5 |
1 |
5 |
4 |
12 |
5 |
13 |
5 |
9 |
4 |
60 |
| Апрель |
— |
— |
16 |
10 |
1 |
5 |
— |
— |
— |
— |
8 |
12 |
3 |
15 |
2 |
10 |
14 |
58 [302] |
К предыдущим результатам систематических наблюдений, произведенных в Нии, считаю не излишним добавить некоторые замечания о ветрах, облачности, осадках, замерзании и вскрытии рек и пыльных туманах, частью по собственным наблюдениям, частью по расспросам туземцев.
По единогласному свидетельству многих опрошенных туземцев, в Кашгарии во все времена года преобладают юго-западные и западные ветры. После них первое место принадлежит в западной половине страны — северо-западным ветрам, а о восточной — северо-восточным. Эти показания вполне подтверждаются строением песчаных образований, которые я старался тщательно осматривать на всем пути. В Юго-западной Кашгарии песчаные образования, встречавшиеся на пути из Яркенда в Хотан, состоят из низких и узких серпообразных насыпей, обращенных выпуклостями почти прямо к западу, а вогнутостями — к востоку. Западные, выпуклые склоны их очень отлоги и несравненно шире восточных, которые отличаются повсеместно гораздо большей (крутизной, ясно свидетельствующей о преобладании западных ветров. В восточной половине страны мелкие песчаные наносы состоят из грядок, простирающихся почти с северо-запада на юго-восток, но не совершенно равносклонных: северо-восточные скаты их несколько круче юго-западных. Колоссальные же песчаные гряды, покрывающие пустыню Такла-макая, тянутся почти в меридиональных направлениях. К северу от Нии, в окрестностях монастыря имама Джафара-Садыка, где я их осматривал, восточные склоны гряд гораздо отложе западных.
На господство западных ветров в Кашгарии указывают также и растения, стебли и ветви которых заметно накренены к востоку.
В летние месяцы 1880 и 1890 гг. мы наблюдали в западной и южной окраинах Кашгарии весьма странное явление — прохладный ветер из внутренней раскаленной в эта время года пустыни Такла-макан, дувший не горизонтально, но сверху под углами от 5° до 10° к горизонту. Описание этого явления помещено в пятой главе настоящей книги.
В горах Кун-луня, по свидетельству горцев, почти ежегодно зимой дует периодически в течение недели и даже целого месяца слабый теплый ветерок с юго-запада, сопровождающийся всегда ясным небом и весьма значительным повышением температуры воздуха, но только в высоких горных областях. В нижних же долинах в это время бывает гораздо холоднее, чем на больших высотах, а потому горцы, сберегая свой скот от холода, переселяются в такую погоду временно на большие высоты и там пасут стада до тех пор, пока не последует смены температур.
Наиболее бурными месяцами в Кашгарии считаются февраль, март и апрель. В течение этих трех месяцев ветры дуют очень часто и нередко достигают силы штормов, в особенности в марте и апреле. В конце апреля они начинают стихать и в летнюю половину года дуют гораздо реже, чем зимой. В сентябре и октябре при ясной погоде преобладают затишья.
Облака в Кашгарии, по моим личным наблюдениям, движутся исключительно с юго-запада, с запада и северо-запада. Из других частей горизонта я никогда не замечал движения облаков. Совершенно такое же заключение о направлении движения облаков высказывали мне вое опрошенные туземцы.
Наибольшая температура воздуха, наблюденная мною при следовании экспедиции по долине Яркенд-дарьи в конце июня 1889 г., была 38,9°, а наименьшая в это время 20,4° по Цельсию. 6 оазисах, осененных деревьями и орошённых множеством арыков, она днем на 5-6° ниже, чем в пустынях, а ночью почти на столько же градусов выше. Следовательно, суточные амплитуды в пустынях на 10-12° бывают больше, чем в оазисах. В июне и июле 1889 г., по моим наблюдениям, суточные амплитуды в оазисах простирались до 16°, а в пустынях до 20°. В течение этих месяцев небо было покрыто днем легкой, облачной пеленой, а ночи были почти всегда пасмурные. Абсолютная-влажность в оазисах в те же месяцы колебалась от 10 mm до 12 mm среди дня и от 8 mm до 10 mm вечером и утром. В пустынях же в околополуденные часы она была от 5 mm до 7 mm, a утром и вечером от 4 mm до 5 mm. В горах и в особенности на Тибетском нагорье суточные амплитуды температуры в летние месяцы и осенью были вообще больше, чем в Кашгарской котловине, и достигали 21° даже при облачном небе, а в совершенно пасмурную погоду простирались лишь до 12° 184. Абсолютная же влажность воздуха в это время колебалась там от 2 mm до 4 mm. [303]
Реки и озера Кашгарии ежегодно покрываются льдом, на три зимних месяца: декабрь, январь и февраль (по старому стилю), причем наибольшая толщина его достигает в северной части страны приблизительно 20 дюймов, а в южной только 15 дюймов. В Южной Кашгарии зимует много перелетных птиц, проводящих лето в более высоких широтах.
Кашгария вообще крайне бедна атмосферическими осадками, В самой котловине дожди бывают очень редко и притом не обильны. Они выпадают почти исключительно в июне в июле, a в остальные летние месяцы дождей почти вовсе не бывает. В окраинных горах дожди выпадают преимущественно в июле и бывают гораздо обильнее и продолжительнее, чем в котловине. Однако и в горах дождей недостаточно для хлебных растений: горные пашни в Кашгарии повсюду орошают искусственно, посредством арыков, выведенных из речек, а полей, орошаемых исключительно одними дождями (богарных), там не существует. Между тем в горных местностях нашего Туркестана, лежащих под теми же широтами; такие поля весьма обыкновенны. К этому следует еще добавить, что количество атмосферических осадков, собственно в Кун-луне, постепенно уменьшается в северо-восточном направлении, что ясно заметно по его флоре и подтверждается показаниями горцев.
Грозы чрезвычайно редки в Кашгарии, о особенности в самой котловине. Обитатели ее, совершенно не привыкшие к этому весьма редкому у них явлению, относятся к нему с суеверным ужасом. Когда на западе появится темная грозовая туча, муллы выходят на балконы мечетей и читают во всеуслышание молитву «кнут», которая, по верованию кашгарцев, избавляет от опасностей грозы, а большая часть туземцев запирается в это время в своих домах и молится, пока не окончится гроза.
Снег тоже редко выпадает в Кашгарской котловине и держится большею частью очень недолго: два-три дня и только в исключительных случаях до 10 дней. Толщина снегового покрова колеблется от 1 до 10 линий и очень редко достигает четырех дюймов. В высоких же окраинных горах снега выпадает гораздо больше и он держится там очень долго.
Дождевые, грозовые и снеговые тучи приносятся только юго-западными, западными и северо-западными ветрами. Из других же частей горизонта они никогда не появляются. О направлении влажных ветров можно безошибочно судить по степени выветривания одиноких скал; венчающих открытые со всех сторон горные вершины. Такие скалы я при всяком удобном случае старался тщательно осматривать. Наблюдения этих скал в Кун-луне показали, что западные их склоны выветриваются значительно сильнее, чем остальные: отторженцы, осыпи, выемки, трещины и щели в западных склонах встречаются гораздо чаще, чем в остальных. После западных склонов наиболее подвержены разрушению южные, но не от влажных ветров, а по всей вероятности, от попеременного действия высокой дневной температуры и ночного холода на слагающие их породы.
Пыльные туманы — весьма обыкновенное явление в Кашгарии. Образование их обусловливается ветрами; а потому ветреные месяцы имеют наибольшее число дней с пыльными туманами. После каждой бури, сопровождающейся всегда столь густой пыльной мглой, что во время нее трудно бывает читать среди дня на дворе, пыльный туман, несмотря на последующую абсолютную тишину, продолжается двое и даже трое суток после шторма. В течение этого времени сверху падает постоянно, но очень медленно, тончайшая минеральная пыль, носившаяся в воздухе. Иногда она покрывает поверхность земли слоем в 2-4 линии толщины, и на этой минеральной пороше явственно отпечатываются следы людей, скота, птиц и диких зверей.
Пыльные туманы сопровождаются всегда облачностью неба, которая увеличивается по мере усиления густоты тумана, и сколько мог я заметить, не предшествует, а следует за пыльной мглой. Как только начнется сгущение пыли, вслед за этим сгущаются и облака, и, наоборот, по мере разрежения пыльного тумана, разрежаются и облака.
Во время густых пыльных туманов солнце бывает видимо только около меридиана в течение не более часа, да и то не всегда. Оно кажется тогда тусклым, бледно-фиолетовым диском, на который можно смотреть без ощущения боли не только простым глазом, но даже в маленькую астрономическую трубу походного инструмента без. цветного стекла позади окуляра. Цвет луны во время пыльных туманов, остается почти неизменным на всех высотах, превосходящих 30°, и только яркость светила значительно уменьшается. Ниже 30° от горизонта луна окрашивается в тусклый багровый цвет.
За неимением точного вертикального круга я, к сожалению, не мог произвести опыта для определения во время пыльного тумана преломления солнечных лучей который меня очень интересовал. [304]
V
Определение скорости распространения звука в разреженном воздухе, на высоте около 13 880 футов над уровнем моря и давлении в 456,8 mm
Для производства этого опыта я веял с собой из Петербурга очень хороший хронограф, измерявший с строгою точностью небольшие промежутки времени; затем, в городе Пржевальске, при содействии командира западно-сибирской конно-горной батареи полковника Я. И. Королькова, я приобрел маленькую пушку двухдюймового калибра со станком.
Хронограф, шедший после каждого завода непрерывно всего 1 m и 7 s, был тщательно исследован посредством сравнения со столовым хронометром Tiede, причем между их ходами в течение 1 m не обнаружено из многих наблюдений никакой постоянной разности. Однако из предосторожности я измерял малый промежуток времени между появлением пламени от пушечного выстрела и достижением до уха звуковой волны на разных частях его циферблата. Полученные для этого промежутка величины, впрочем, тоже не показали никакой постоянной разницы между собой, изменяясь в пределах ошибок наблюдений.
Описываемый опыт был произведен мною на Тибетском нагорье, к северу от озера Даши-куль, на обширной щебневатой равнине, лежащей на высоте около 13 880 футов над уровнем моря. На северном конце базиса, измеренного на этой равнине два раза шнуром для проложения небольшой тригонометрической сети, был насыпан из земли маленький курган и на вершине его поставлена пушка, обращенная жерлом к другому — южному концу базиса. Позади орудия стоял кол, к которому был прикреплен немного выше вершины холма фонарь с плоско-выпуклым стеклом, испускавший свет по линии базиса. Ровно в 1 598 саженях от дула орудия, на южном конце базиса, накопился большой сундук, на котором стоял кипрегель. В трубу его, наведенную в темноте при посредстве фонаря на пушку, и наблюдая появление пламени из ее жерла.
Выстрелы, под наблюдением моего помощника П. К. Козлова, производились аккуратно с 9 h 30 m вечера через каждые 5 m до 10 h 25 m. Перед наступлением условного времени я тщательно отсчитывал показание стрелки хронографа и затем, наложив палец на его спуск, ожидал появления в трубе из дула пушки пламени, которое представлялось на одно мгновение в виде маленького светлого диска с лучами. В момент появления его я спускал хронограф и при первом дошедшем до слуха звуке выстрела останавливал.
В течение вечера, в который был произведен опыт, 3 июля нового стиля 1890 г., и всей следующей ночи при облачном небе господствовало полное затишье я осадков не было. С 9 h 0 m до 11 h 0 m в лагере близ южного конца базиса, через каждые 10 m мой помощник производил наблюдения над атмосферным давлением по ртутному барометру Паррота, температурой воздуха и его влажностью (по психрометру). Эти наблюдении, начатые за 30 m до опыта и оконченные 35 m спустя после него, дали в среднем следующие величины.
Лагерь на берегу озера Даши куль 3 июля нового стиля 1890 г.
Широта φ — =36°34,9'
Долгота λ — =84°26,3' от Гринвича
Абсолютная высота h — =13 880 футов
Давление при 0° — 456,8 mm
Температура воздуха — +10,5° по Цельсию
Абсолютная влажность — 2,8 mm
Относительная влажность 31%
Для определения скорости распространения звука сделано было 12 наблюдении, которые дали следующие результаты: [305]
| Время выстрела |
Показания хронографа |
Время прохождения звука |
| 9 h 30 m |
10,45 s от 0,0 s |
10,45 s |
| „ 35 |
21,00 s |
10,55 s |
| „ 40 |
31,35 s |
10,35 s |
| „ 45 |
41,82 s |
10,47 s |
| „ 50 |
52,32 s |
10,50 s |
| „ 55 |
10,42 s от 0,0 s |
10,42 s |
| 10 h 0 m |
20,82 s |
10,40 s |
| „ 5 |
31,15 s |
10,33 s |
| „ 10 |
41,59 s |
10,44 s |
| „ 15 |
52,16 s |
10,57 s |
| „ 20 |
10,32 s от 0,0 s |
10,32 s |
| „ 25 |
20,75 s |
10,43 s |
| Среднее: |
10,436 s |
Следовательно в 1 s среднего времени звук проходил 1 598X7/10,436 = 1 073 фута, или 327 м. Это число мало разнится от найденного из опытов на небольших высотах над уровнем моря.
СПИСОК ЛАТИНСКИХ И РУССКИХ НАЗВАНИЙ ЖИВОТНЫХ И РАСТЕНИЙ
Животные
| Aspiorrhynchus Przewalskii |
так же |
|
| Casarca rutila |
Taborna ferruginea |
красная утка |
| Dafila acuta |
Anas acuta |
шилохвост |
| Dyptychus |
так же |
осман |
| Dipus s p. |
так же |
тушканчик |
| Cazella subguturosa |
так же |
степная антилопа |
| Lagomys ladacensis |
Ochotonaa ladacensis |
ладакская пищуха |
| Megalorerdix himalayanus |
Petraogallus himalayensis |
гималайский улар |
| Nemachilus jarcandesis |
так же |
голец |
| Nemachilus bombifrons |
так же |
голец |
| Ovis Polii |
Ovis ammon |
горный баран, архар |
| Pantholbpus Hodgsoni |
так же |
антилопа-оронго |
| Planorbis sybiricus |
так же |
|
| Pseudois nachoor |
так же |
куку-яман |
| Schizothorax |
так же |
маринка |
| Schizothorax Biddulphii |
так же |
маринка |
| Tropidonotus hydrus |
Natrix tessellata |
водяной уж |
Растения
| Apocynum venetum |
A. lancifolium |
кендырь ланцетолистный |
| Apocynum pictum |
так же |
кендырь расписной |
| Artemicia sp. |
так же |
полынь |
| Carex sp. |
так же |
осока |
| Caragana sp. |
так же |
карагана |
| Clematis orientalis |
так же |
ломонос восточный |
| Elaeagnus sp. |
так же |
джигда |
| Eurotria sp. |
так же |
терескен, белолозник |
| Festuca altaica |
так же |
овсянка алтайская |
| CHicsrrhiza sp. |
Glycyrryhiza sp. |
солодка |
| Haloxilon ammodendron |
так же |
саксаул |
| Hippophqe stenacarpa |
H. rhamnoides |
облепиха |
| Iris sp. |
так же |
касатик |
| Lolium sp. |
Stipa inebrians |
ковыль |
| Lasiagrostis splendens |
так же |
чий блестящий, дырисун |
| Lacium ruthenicum |
так же |
сугак, дереза |
| Morus nigra |
так же |
тут |
| Morina sp. |
M. Contleriana |
|
| Myricaria germanica |
так же |
балга-мото (кашгар.), мирикария |
| Myricaria sp. |
так же |
балга-мото (кашгар.), мирикария чешуйчатая |
| Populus alba |
так же |
белый тополь |
| Phragmites communis |
так же |
камыш, тростник обыкновенный |
| Populus diversifolia |
P. euphratica или Р. Litwinowiana |
туграк (тограк), тополь евфратский или тополь Литвинова |
| Salix microstachya |
так же |
ива мелкосережчатая, лоза |
| Stipa orientalis |
так же |
ковыль восточный |
| Tamarix sp. |
так же |
тамариск |
| Triticum sp. |
так же |
дикая пшеничка, пшеница |
| Typha sp. |
так же |
рогозник, рогоз |
| Ulmus campestris |
U. densa |
карагас, гельм, берсай густой |
| Zizyphus vulgaris |
так же |
ююба, жужуба |
Таблица перевода русских мер в метрические
| Русские меры |
Метрические меры |
| 1 верста |
1,067 км |
| 1 сажень |
2,134 м |
| 1 аршин |
0,711 м |
| 1 вершок |
4,445 см |
| 1 фут |
30,48 см |
| 1 дюйм |
25,4 мм |
| 1 пуд |
16 кг |
| 1 фунт |
409,5 г |
Комментарии
179. Н. Цингер. Об определении времени по соответствующим высотам различных звезд. Приложение к т. XXV Записок Академии наук. СПб., 1874.
180. См. Записки Русского Географического общества по Общей географии, т. XVII, No 5, СПб., 1887.
181. Показанные в списке координаты относятся к местам наблюдений и не исправлены величинами приведений последнего столбца.
182. Radau. Tables barométriques et hypsometriques. Paris, 1874.
183. Гигрометр Сосюра, по которому делались наблюдения в течение первых трех месяцев, вследствие сильных перемен в растяжимости волоска, дал неудовлетворительные показания относительной влажности.
184. Во время нашего пребывания в Кун-луне и на Тибетском нагорье небо почти всегда было облачно, так что мы не могли получить и одного показания maximum-minimum термометра, наибольшей и наименьшей температуры подряд, при совершенно безоблачном небе.
Текст воспроизведен по изданию: М. В. Певцов. Путешествия в Кашгарию и Кунь-Лунь. М. Географгиз. 1949
© текст - Марголин Я. А. 1949© OCR - Бычков М. Н. 2011
© сетевая версия - Strori. 2011
© дизайн - Войтехович А. 2001
© Географгиз. 1949
Мы приносим свою благодарность
М. Н. Бычкову
за предоставление текста.